NYISO Tariffs --> Market Administration and Control Area Services Tariff (MST) --> 26 MST Attachment K - Creditworthiness Requirements For Cust --> 26.4 MST Att K Operating Requirement and Bidding Requirement

26.4 Operating Requirement and Bidding Requirement

26.4.1 Purpose and Function 

The Operating Requirement is a measure of a Customer’s expected financial obligations to the ISO based on the nature and extent of that Customer’s participation in ISO-Administered Markets.  A Customer shall be required to allocate Unsecured Credit, where allowed, and/or provide collateral in an amount equal to or greater than its Operating Requirement.  Upon a Customer’s written request, the ISO will provide a written explanation for any changes in the Customer’s Operating Requirement. 

The Bidding Requirement is a measure of a Customer’s potential financial obligation to the ISO based upon the bids that Customer seeks to submit in an ISO-administered TCC or ICAP auction.  A Customer shall be required to allocate Unsecured Credit, where allowed, and/or provide collateral in an amount equal to or greater than its Bidding Requirement prior to submitting bids in an ISO-administered TCC or ICAP auction.

26.4.2 Calculation of Operating Requirement

The Operating Requirement shall be equal to the sum of (i) the Energy and Ancillary Services Component;  (ii) the External Transaction Component; (iii) the UCAP Component; (iv) the TCC Component; (v) the WTSC Component; (vi) the Virtual Transaction Component; (vii) the Projected True-Up Exposure Component; and (viii) the Former RMR Generator Component, where: 

26.4.2.1 Energy and Ancillary Services Component

The Energy and Ancillary Services Component shall be equal to the value calculated using the applicable formula below, subject to any adjustment the ISO may deem necessary in connection with the imposition of duties on electric energy under Schedule 22:

(a) For Customers without a prepayment agreement, the greater of either:

* 16

- or -

 

 

(b) For Customers that qualify for a prepayment agreement, subject to the ISO’s credit analysis and approval, and execute a prepayment agreement in the form provided in Appendix K-1, the greater of either:

* 3

-or-

 

 (c) For new Customers, the ISO shall determine a substitute for the Basis Amount for Energy and Ancillary Services for use in the appropriate formula above equal to:

where: 

EPL  =  estimated peak Load for the Capability Period; and

AEP  =  average Energy and Ancillary Services price during the Prior Equivalent Capability Period after applying the Price Adjustment.

26.4.2.2  External Transaction Component

The External Transaction Component shall equal the sum of the Customer’s (i) Import Credit Requirement, (ii) Export Credit Requirement, (iii) Wheels Through Credit Requirement, and (iv) the net amount owed to the ISO for the settled External Transaction Component Transactions.

26.4.2.2.1  Import Credit Requirement

For a given month, the Import Credit Requirement shall apply to any Customer that Bids to Import in the Day-Ahead Market (“DAM”) unless (i) the Customer has at least 50 scheduled Day-Ahead Import Bids in the three-month period ending on the 15th day of the preceding month (or the six-month period ending on the 15th day of the preceding month if the Customer has fewer than 50 scheduled Day-Ahead Import Bids in the immediately preceding three-month period), and (ii) fewer than 25% of the MWhs of such scheduled Day-Ahead Import Bids were settled at a loss to the Customer.

The Import Credit Requirement shall equal the sum of the amounts calculated for each Bid in accordance with the appropriate formulas below: 

(1) Upon submission of a DAM Import Bid until posting of the applicable DAM schedule/price.

 The ISO will calculate the required credit support for pending DAM Import Bids for a market day three days prior to the DAM close for that market day.  The ISO will calculate the required credit support for DAM Import Bids that are submitted after the commencement of the initial credit evaluation upon Bid submission. The ISO will categorize each Import Bid into one of the 33 Import Price Differential (“IPD”) groups set forth in the IPD chart in Section 26.4.2.2.4 below, as appropriate, based upon the season, weekday/weekend, holiday, and time-of-day of the Import Bid.  For each Proxy Generator Bus, the amount of credit support required in $/MWh that applies to an Import Bid shall equal the 98th percentile level of the following: the hourly average Energy price calculated in the Real-Time Market at the location associated with the Import Bid, minus the Energy price calculated in the DAM at the same location and time, with the dataset used to perform this calculation consisting of all hours that are in the same IPD group as the hour to which the Import Bid applies in the previous one (1) year ending on the last day of the calendar month preceding the month to which the Import Bid applies and in the previous five (5) years ending on the last day of the calendar month preceding the month to which the Import Bid applies (“Import Price Differential”).  The Import Price Differential will be calculated by applying a weight of 1/3 to the previous one (1) year ending on the last day of the calendar month preceding the month to which the Import Bid applies and a weight of 2/3 to the previous five (5) years ending on the last day of the calendar month preceding the month to which the Import Bid applies.  The amount of credit support required in $/MWh shall not be less than $0/MWh.

The credit requirement for each Import Bid shall be calculated as follows: 

Where:

 

BidMWhB = the total quantity of MWhs that a Customer Bids to Import in a particular hour and at a particular location.

IPDCS =  the amount of credit support required, in $/MWh, for an Import Bid as described above, for the location associated with the Import Bid and for the IPD group that contains the hour to which the Import Bid applies.

(2) Upon posting of the applicable DAM schedule/price until completion of the hour Bid in real-time for a DAM Import Bid.

 The credit requirement for each Import Bid shall be calculated as follows: 

Where:

 

SchBidMWhI = the total quantity of MWhs that is scheduled in the DAM in a particular hour and at a particular location as a result of the Customer’s Import Bid.

IPDCS  = the amount of credit support required, in $/MWh, for an Import Bid as described above, for the location associated with the Import Bid and for the IPD group that contains the hour to which the Import Bid applies.

(3) Upon completion of the hour Bid in real-time for a DAM Import Bid until the net amount owed to the ISO is determined for settled External Transactions.

 The credit requirement for each Import Bid shall be calculated as follows: 

Where:

BalPay$ = (SchBidMWhI – ActualMWhI) * RT LBMPI

DAMPay$ = SchBidMWhI * DAM LBMPI

SchBidMWhI = the total quantity of MWhs that is scheduled in the DAM in a particular               hour at a particular location as a result of the Customer’s Import Bid.

ActualMWhI  =  the total quantity of MWhs that is scheduled in real-time associated with the Customer’s Import Bid in a particular hour and at a particular location for the hour completed.

DAM LBMPI  = the Day-Ahead LBMP in a particular hour and at a particular location associated with the Customer’s Import Bid.

RT LBMPI  = the Real-Time LBMP in a particular hour and at a particular location associated with the Customer’s Import Bid.

26.4.2.2.2 Export Credit Requirement

The Export Credit Requirement shall apply to any Customer that Bids to Export from the DAM or Hour-Ahead Market (“HAM”).

The Export Credit Requirement shall equal the sum of the amounts calculated for each Bid in accordance with the appropriate formulas below: 

(1) Upon submission of a DAM Export Bid until posting of the applicable DAM schedule/price.

 The ISO will calculate the required credit support for pending DAM Export Bids for a market day three days prior to the DAM market close for that market day.  The ISO will calculate the required credit support for DAM Export Bids that are submitted after the commencement of the initial credit evaluation upon Bid submission. The ISO will categorize each Export Bid into one of the 28 Export Price Differential (“EPD”) groups set forth in the EPD chart in Section 26.4.2.2.4 below, as appropriate, based upon the season, weekday/weekend, holiday, and time-of-day of the Export Bid. For each Proxy Generator Bus, the amount of credit support required in $/MWh that applies to an Export Bid shall equal the 97th percentile level of the following: the Energy price calculated in the DAM at the location associated with the Export Bid, minus the hourly average Energy price calculated in the Real-Time Market at the same location and time, with the dataset used to perform this calculation consisting of all hours that are in the same EPD group as the hour to which the Export Bid applies in the previous one (1) year ending on the last day of the calendar month preceding the month to which the Export Bid applies and in the previous five (5) years ending on the last day of the calendar month preceding the month to which the Export Bid applies (“Export Price Differential”).  The Export Price Differential will be calculated by applying a weight of 1/3 to the previous one (1) year ending on the last day of the calendar month preceding the month to which the Export Bid applies and a weight of 2/3 to the previous five (5) years ending on the last day of the calendar month preceding the month to which the Export Bid applies.  The amount of credit support required in $/MWh shall not be less than $0/MWh.

 The credit requirement for all DAM Export Bids with the same hour/date and location shall be calculated as follows: 

 

Where:

 

BidMWh =  the total quantity of MWhs that a Customer Bids to Export in the DAM in a particular hour and at a particular location at or below each Bid Price.

Bid$E  =  the Bid Price in $/MWh at which the Customer Bids to purchase the BidMWh of Exports in a particular hour and at a particular location.

N  = the set of hourly Export Bid Prices in a particular hour and at a particular location.

BidMaxMWhB  =  the total quantity of MWhs that a Customer Bids to Export in the DAM in a particular hour and at a particular location.

EPDCS  =  the amount of credit support required, in $/MWh, for an Export Bid as described above, for the location associated with the Export Bid and for the EPD group that contains the hour to which the Export Bid applies.

(2) Upon posting of the applicable DAM schedule/price until completion of hour Bid in real-time for a DAM Export Bid.

 The credit requirement for each Export Bid shall be calculated as follows: 

 

Where:

 

SchBidMWhE  = the total quantity of MWhs that is scheduled in the DAM in a particular hour at a particular location as a result of the Customer’s Export Bid.

EPDCS  = the amount of credit support required, in $/MWh, for an Export Bid as described above, for the location associated with the Export Bid and for the EPD group that contains the hour to which the Export Bid applies.

DAM LBMPE  = the Day-Ahead LBMP in a particular hour and at a particular location associated with the Customer’s Export Bid.

(3) From submission of a HAM Export Bid until completion of the hour Bid in real-time.

i. Non-CTS Interface Bids to Export . 

The ISO will calculate the required credit support for pending HAM non-CTS Interface Bids to Export for a market day three days prior to the DAM close for that market day.  The ISO will calculate the required credit support for HAM non-CTS Interface Bids to Export that are submitted after the commencement of the initial credit evaluation upon Bid submission. The amount of credit support required in $/MWh that applies to HAM non-CTS Interface Bids Export in the same hour/date and at the same location shall equal the maximum amount of the payment potentially due to the ISO based on the MWhs of Exports Bid for purchase at each bid price in a particular hour and at a particular location.

The credit requirement for all HAM non-CTS Interface Bids to Export with the same hour/date and location shall be calculated as follows: 

 

Where:

 

BidMWhE  = the total quantity of MWhs that a Customer Bids to Export in the HAM in a particular hour and at a particular location at or below each bid price minus the MWhs of Exports scheduled in the DAM in the same hour at the same location.

Bid$E  = the bid price in $/MWh at which the Customer Bids to purchase the BidMWhE of Exports in a particular hour and at a particular location.

N  = the set of hourly Export bid prices in a particular hour and at a particular location.

ii. CTS Interface Bids to Export.

For CTS Interface Bids to Export credit support will be calculated at HAM close.  The amount of credit support required in $/MWh that applies to such bid shall equal the sum of the time-weighted hourly RTC price for each of the 15-minute intervals within the bid hour, not to be less than zero.

The credit requirement for each CTS Interface Bid to Export shall be calculated as follows: 

 

 Where:

N  = each 15-minute interval within the bid hour.

RTC$/MWhcts = most recently available RTC price for N in $/MWh at the location associated with the CTS Interface Bid to Export             

BidMWhscts = the total quantity of MWhs in a Customer’s CTS Interface Bid to Export for N in a particular hour and at a particular location minus the MWhs of Exports scheduled in the DAM in same hour at the same location.

Hourly Weight = 0.25

(4) Upon completion of the hour Bid in real-time for an Export Bid until the net amount owed to the ISO is determined for settled External Transactions.

 The amount of credit support required will equal the sum of the Day-Ahead Credit Calculation and Real-Time Credit Calculation for each completed hour. 

 The credit requirement for each Export Bid shall be calculated as follows: 

Day-Ahead Credit Calculation + Real-Time Credit Calculation

 

 The Day-Ahead Credit Calculation only applies to DAM Export Bids and the Real-Time Credit Calculation applies to all HAM Export Bids including HAM Bids associated with a DAM Bid.

Where:

 

Day-Ahead Credit Calculation   = Max (Adjusted Export Day-Ahead Credit Calculation, 0)

Adjusted Export Day-Ahead Credit Calculation = the credit requirement calculated in accordance with section 26.4.2.2.2(2) minus the Balancing Payment.

SchBidMWhE  = the total quantity of MWhs that is scheduled in the DAM in a particular hour and at a particular location as a result of the Customer’s Export Bid.

ActualMWhE  =  the total quantity of MWhs that is scheduled in real-time associated with the Customer’s Export Bid in a particular hour and at a particular location for the hour completed.

RT LBMPE    = the Real-Time LBMP in a particular hour and at a particular location associated with the Customer’s Export Bid.

 

 

ActualMWhE    =  the total quantity of MWhs that is scheduled in real-time associated with the Customer’s Export Bid in a particular hour and at a particular location for the hour completed.

SchBidMWhE  =  the total quantity of MWhs that is scheduled in the DAM in a particular hour and at a particular location as a result of the Customer’s Export Bid.

RT LBMPE      = the Real-Time LBMP in a particular hour and at a particular location associated with the Customer’s Export Bid.

26.4.2.2.3  Wheels Through Credit Requirement

 The Wheels Through Credit Requirement shall apply to any Customer that Bids to Wheel Through in the DAM or HAM.

 The Wheels Through Credit Requirement shall equal the sum of the amounts calculated for each Bid in accordance with the appropriate formulas below: 

(1) Upon submission of a DAM Wheels Through Bid until posting of the applicable DAM schedule/price.

 The ISO will calculate the required credit support for pending DAM Wheels Through Bids for a market day three days prior to the DAM close for that market day.  The ISO will calculate the required credit support for DAM Wheels Through Bids that are submitted after the commencement of the initial credit evaluation upon Bid submission. The amount of credit support required in $/MWh that applies to the DAM Wheels Through Bid shall equal the maximum payment potentially due to the ISO based on the Customer’s Bid Prices on the Bid curve.

 The credit requirement for each Wheels Through Bid shall be calculated as follows: 

Where:

N  = each Bid Price on the Bid curve.

 

BidPtMWhN = the MWhs associated with the Bid Price on the Bid curve.

 

Bid$$/MWhN    = the amount that the customer is willing to pay for congestion in $/MWh on the Bid curve associated with the Customer’s Wheels Through Bid.

(2) Upon posting of the applicable Wheels Through DAM schedule/price until completion of the hour Bid in real-time.

 The credit requirement for each DAM Wheels Through Bid shall be calculated as follows: 

 

Where:

 

SchBidMWhW  =  the total quantity of MWhs scheduled in the DAM as a result of the               Customer’s Bid to schedule Wheels Through.

DAM LBMPPOI = the Day-Ahead LBMP in the hour and at the Point of Injection associated with the Wheels Through Bid.

DAM LBMPPOW   = the Day-Ahead LBMP in the hour and at the Point of Withdrawal associated with the Wheels Through Bid.

(3) Upon creation of a HAM Wheels Through Bid until the completion of the hour Bid in real-time.

 The ISO will calculate the required credit support for pending HAM Wheels Through Bids for a market day three days prior to the DAM close for that market day.  The ISO will calculate the required credit support for HAM Wheels Through Bids that are submitted after the commencement of the initial credit evaluation upon Bid submission. The amount of credit support required in $/MWh that applies to HAM Wheels Through Bid shall equal the price of the maximum value of exposure based on bid prices on the Bid curve. 

 The credit requirement for each Wheels Through Bid shall be calculated as follows: 

Where:

N = each bid price on the Bid curve.

BidPtMWhW  = the MWhs associated with the bid price on the Bid curve minus the MWhs of the DAM Bid with same hour/date, location and Bid transaction ID.

Bid$$/MWhN = the amount that the customer is willing to pay for congestion in $/MWh on the Bid curve associated with the Customer’s Wheels Through Bid.

(4) Upon completion of the hour Bid in real-time for a Wheels Through Bid until the net amount owed to the ISO is determined for settled External Transactions.

 The amount of credit support required will equal the sum of the Day-Ahead Credit Calculation and Real-Time Credit Calculation for each completed hour.

 The credit requirement for each Wheels Through Bid shall be calculated as follows: 

Day-Ahead Credit Calculation + Real-Time Credit Calculation

 

 The Day-Ahead Credit Calculation only applies to DAM Wheels Through Bids and the Real-Time Credit Calculation applies to all HAM Wheels Through Bids including HAM Bids associated with a DAM Bid.

Where:

 

Day-Ahead Credit Calculation = Max (Adjusted Wheels Through Day-Ahead Credit Calculation, 0)

Adjusted Wheels Through Day-Ahead Credit Calculation = the credit requirement calculated in section 26.4.2.2.3(2) minus the Balancing Payment.

 

 

SchBidMWhW  =  the total quantity of MWhs that is scheduled in the DAM as a result of the Customer’s Wheels Through Bid.

ActualMWhW  = the total quantity of MWhs that is scheduled in real-time associated with the Customer’s Wheels Through Bid for the hour completed.

RT LBMPPOI  = the Real-Time LBMP in the hour and at the Point of    Injection associated with the Wheels Through Bid.

RT LBMPPOW  = the Real-Time LBMP in the hour and at the Point of Withdrawal associated with the Wheels Through Bid.

 

 

SchBidMWhW  = the total quantity of MWhs that is scheduled in the DAM as a result of the Customer’s Bid to Wheel Through Energy.

ActualMWhW  = the total quantity of MWhs that is scheduled in real-time associated with the Customer’s Wheels Through Bid for the hour completed.

RT LBMPPOI  =  the Real-Time LBMP in the hour and at the Point of Injection associated with the Wheels Through Bid.

RT LBMPPOW  = the Real-Time LBMP in the hour and at the Point of Withdrawal associated with the Wheels Through Bid.

26.4.2.2. 4  Calculation of Price Differentials

Import Price Differential (IPD) Groups

 

 

 

 

 

 

 

 

 

 

 

 

 

 

 

 

 

 

 

 

 

 

 

 

 

 

 

 

 

 

 

 

 

 

 

 

 

 

 

 

 

 

 

Summer

IPD Group For Each Proxy Generator Bus

HB07–09

IPD-1

HB10–12

IPD-2

HB13–17

IPD-3

HB18

IPD-4

HB19-20

IPD-5

HB21-22

IPD-6

Weekend/ Holiday (HB07–08)

IPD-7

Weekend/ Holiday (HB09–12)

IPD-8

Weekend/ Holiday (HB13–14)

IPD-9

Weekend/ Holiday (HB15–16)

IPD-10

Weekend/ Holiday (HB17–18)

IPD-11

Weekend/ Holiday (HB19–22)

IPD-12

Night (HB00,23)

IPD-13

Night (HB01-06)

IPD-14

Winter

 

HB08–09

IPD-15

HB10–12

IPD-16

HB13–15

IPD-17

HB16-17

IPD-18

HB18-20

IPD-19

HB21-22

IPD-20

Weekend/ Holiday (HB16–20)

IPD-21

Weekend/ Holiday (Other HB08-22)

IPD-22

Night (HB00,01,23)

IPD-23

Night (HB02-05)

IPD-24

Night (HB06-07)

IPD-25

Rest-of-Year

 

HB07–10

IPD-26

HB11–14

IPD-27

HB15–19

IPD-28

HB20-22

IPD-29

Weekend/ Holiday (HB17–20)

IPD-30

Weekend/ Holiday (Other HB07-22)

IPD-31

Night (HB00,06,23)

IPD-32

Night (HB01-05)

IPD-33

 

Where:

Summer   = May, June, July, and August

Winter   = December, January, and February

Rest-of-Year  = March, April, September, October, and November

Weekend  = Saturday and Sunday

Holiday   =  NERC-defined holidays

HB   = Hour Beginning x:00

 

 

Export Price Differential (EPD) Groups

 

 

 

 

 

 

 

 

 

 

 

 

 

 

 

 

 

 

 

 

 

 

 

 

 

 

 

 

 

 

 

 

 

 

 

 

 

 

 

 

 

 

 

Summer

EPD Group For Each Proxy Generator Bus

HB07–09

EPD-1

HB10–11

EPD-2

HB12-13

EPD-3

HB14-17

EPD-4

HB18-20

EPD-5

HB21-22

EPD-6

Weekend/ Holiday (HB13-19)

EPD-7

Weekend/ Holiday (Other HB07-22)

EPD-8

Night (HB00,23)

EPD-9

Night (HB01-06)

EPD-10

Winter

 

HB07–09

EPD-11

HB10–12

EPD-12

HB13–15

EPD-13

HB16-17

EPD-14

HB18-20

EPD-15

HB21-22

EPD-16

Weekend/ Holiday (HB16–20)

EPD-17

Weekend/ Holiday (Other HB07-22)

EPD-18

Night (HB02-04)

EPD-19

Night (Other HB23-06)

EPD-20

Rest-of-Year

 

HB07–10

EPD-21

HB11–14

EPD-22

HB15–19

EPD-23

HB20-22

EPD-24

Weekend/ Holiday (HB17–20)

EPD-25

Weekend/ Holiday (Other HB07-22)

EPD-26

Night (HB00,06,23)

EPD-27

Night (HB01-05)

EPD-28

 

Where:

Summer   = May, June, July, and August

Winter   = December, January, and February

Rest-of-Year  = March, April, September, October, and November

Weekend  = Saturday and Sunday

Holiday   =  NERC-defined holidays

HB   = Hour Beginning x:00

 

26.4.2.3 UCAP Component 

The UCAP Component shall be equal to the total of all amounts then-owed (billed and unbilled) for UCAP purchased in the ISO-administered markets.

26.4.2.4 TCC Component 

The TCC Component shall be equal to the amount calculated in accordance with Section  26.4.2.4.1; provided however, that upon initial award of a TCC until the ISO receives payment for the TCC, the ISO will hold the greater of the payment obligation for the TCC or the credit requirement for the TCC calculated in accordance with this Section 26.4.2.4.

26.4.2.4.1 Auction TCC Holding Requirement

This Section 26.4.2.4.1 applies to all TCCs regardless of whether awarded in the Centralized TCC Auction and Balance-of-Period Auction or otherwise; provided, however, for purposes of this Section 26.4.2.4, Incremental TCCs and Grandfathered TCCs shall be considered as a series of one-year TCCs for the entire duration that such TCCs remain valid.

The credit requirement pursuant to this Section 26.4.2.4.1 shall equal the sum of the amounts calculated in accordance with the appropriate per TCC term-based formulas listed below.  The ISO will not impose a credit requirement on TCCs that have been sold by a Market Participant in the Centralized TCC Auction or Balance-of-Period Auction.

26.4.2.4.1.1 Two-Year TCCs:

(1) upon initial award of a two-year TCC (including a Fixed Price TCC with a two-year duration) until completion of the final round of the current two-year Sub-Auction, the sum of the first year and second year amounts, which will be calculated as follows:

First Year:

the amount calculated in accordance with the one-year TCC formula set forth in Section 26.4.2.4.1.5 below

 

where:

Pijt = market clearing price of a one-year TCC in the final round of the one-year Sub-Auction in the prior Capability Period Centralized TCC Auction with the same POI and POW combination as the two-year TCC.

Second Year:

the amount calculated in accordance with the one-year TCC formula set forth in Section 26.4.2.4.1.5 below

 

 

where:

Pijt  = market clearing price of that two-year TCC (or, in the case of a Fixed Price TCC, a two-year TCC with the same POI and POW combination as the Fixed Price TCC) minus the market clearing price of a one-year TCC in the final round of the one-year Sub-Auction in the prior Capability Period Centralized TCC Auction with the same POI and POW combination as the two-year TCC

 

(2) upon completion of the final round of the current two-year Sub-Auction until completion of the final round of the current one-year Sub-Auction, the sum of the first year and second year amounts, which will be calculated as follows:

First Year:

the amount calculated in accordance with the one-year TCC formula set forth in Section 26.4.2.4.1.5 below

where:

Pijt = market clearing price of a one-year TCC in the final round of the one-year Sub-Auction in the prior Capability Period Centralized TCC  Auction with the same POI and POW combination as the two-year TCC

Second Year:

the amount calculated in accordance with the one-year TCC formula set forth in Section 26.4.2.4.1.5 below

 

 

where:

Pijt  =  market clearing price of a two-year TCC in the final round of the current two-year Sub-Auction with the same POI and POW combination as the two-year TCC minus the market clearing price of a one-year TCC in the final round of the one-year Sub-Auction in the prior Capability Period Centralized TCC Auction with the same POI and POW combination as the two-year TCC

(3)  upon completion of the final round of the current one-year Sub-Auction until completion of the Balance-of-Period Auction for the first month of the two-year TCC, the sum of the first year and second year amounts, which will be calculated as follows:

First Year:

the amount calculated in accordance with the one-year TCC formula set forth in Section 26.4.2.4.1.5 below

 

where:

Pijt = market clearing price of a one-year TCC in the final round of the current one-year Sub-Auction with the same POI and POW combination as the two-year TCC

Second Year:

the amount calculated in accordance with the one-year TCC formula set forth in Section 26.4.2.4.1.5 below

 

 

where:

Pijt  =  market clearing price of a two-year TCC in the final round of the current two-year Sub-Auction with the same POI and POW combination as the two-year TCC minus the market clearing price of a one-year TCC in the final round of the current one-year Sub-Auction with the same POI and POW combination as the two-year TCC

(4) upon completion of the Balance-of-Period Auction for the first month of the two-year TCC until completion of the final round of the six-month Sub-Auction in the next Centralized TCC Auction, the sum of the first year and second year amounts, which will be calculated as follows:

First Year:

the amount calculated in accordance with the appropriate Balance-of-Period Auction holding requirement formulas set forth in Section 26.4.2.4.1.6 below

Second Year:

the amount calculated in accordance with the one-year TCC formula set forth in Section 26.4.2.4.1.5 below

 

where:

Pijt  =  market clearing price of a two-year TCC in the final round of the two-year Sub-Auction in which the TCC was purchased (or, in the case of a Fixed Price TCC, the final round of the two-year Sub-Auction of the Centralized TCC Auction in which the six-month Sub-Auction made transmission capacity available to support the sale of TCCs for the first Capability Period in which the applicable Fixed Price TCC would be valid) with the same POI and POW combination as the two-year TCC minus the market clearing price of a one-year TCC in the final round of the one-year Sub-Auction that directly followed the two-year Sub-Auction in which the TCC was purchased (or, in the case of a Fixed Price TCC, the two-year Sub-Auction of the Centralized TCC Auction in which the six-month Sub-Auction made transmission capacity available to support the sale of TCCs for the first Capability Period in which the applicable Fixed Price TCC would be valid) with the same POI and POW combination as the two-year TCC

 

(5)  upon completion of the final round of the six-month Sub-Auction for the final six months of the first year of the two-year TCC until completion of the Balance-of-Period Auction immediately preceding the final six months of the first year of the two-year TCC, the sum of the first year and second year amounts, which will be calculated as follows:

First Year:

the amount calculated in accordance with the six-month TCC formula set forth in Section 26.4.2.4.1.5 below

where:

Pijt  =  market clearing price of a six-month TCC in the final round of the six-month Sub-Auction with the same POI and POW combination as the two-year TCC

Second Year:

the amount calculated in accordance with the one-year TCC formula set forth in Section 26.4.2.4.1.5 below

where:

Pijt  =  market clearing price of a one-year TCC in the single round one-year Sub-Auction for TCCs valid during the same period as the second year of the two-year TCC in the next Centralized TCC Auction after the Centralized TCC Auction in which the two-year TCC was initially awarded and having the same POI and POW combination as the two-year TCC

(6)  upon completion of the Balance-of-Period Auction immediately preceding the final six months of the first year of the two-year TCC until ISO receipt of payment for the second year of the two-year TCC, the sum of the first year and second year amounts, which will be calculated as follows:

First Year:

the amount calculated in accordance with the appropriate Balance-of-Period TCC Auction holding requirement formula set forth in Section 26.4.2.4.1.6 below

Second Year:

the amount calculated in accordance with the appropriate one-year TCC Auction holding requirement formula set forth in Section 26.4.2.4.1.5 below

 

where:

Pijt  =  market clearing price of a one-year TCC in the single round one-year Sub-Auction for TCCs valid during the same period as the second year of the two-year TCC in the next Centralized TCC Auction after the Centralized TCC Auction in which the two-year TCC was initially awarded and having the same POI and POW combination as the two-year TCC

(7) upon ISO receipt of payment for the second year of the two-year TCC until completion of the final round of the one-year Sub-Auction for the second year of the two-year TCC, the sum of the first year and second year amounts, which will be calculated as follows:

First Year:

the amount calculated in accordance with the appropriate Balance-of-Period Auction holding requirement formula set forth in Section 26.4.2.4.1.6 below

Second Year:

the amount calculated in accordance with the one-year TCC formula set forth in Section 26.4.2.4.1.5 below

where:

Pijt = market clearing price of a one-year TCC in the single round one-year Sub-Auction for TCCs valid during the same period as the second year of the two-year TCC in the next Centralized TCC Auction after the Centralized TCC Auction in which the two-year TCC was initially awarded and having the same POI and POW combination as the two-year TCC

(8) upon completion of the final round of the one-year Sub-Auction for the second year of the two-year TCC until completion of the Balance-of-Period Auction for the first month of the second year of the two-year TCC, the sum of the first year and second year amounts, which will be calculated as follows::

First Year:

the amount calculated in accordance with the appropriate Balance-of-Period Auction holding requirement formula set forth in Section 26.4.2.4.1.6 below

Second Year:

the amount calculated in accordance with the one-year TCC formula set forth in Section 26.4.2.4.1.5 below

where:

Pijt = market clearing price of a one-year TCC in the final round of the most recently completed one-year Sub Auction with the same POI and POW combination as the two-year TCC

(9) upon completion of the Balance-of-Period Auction for the first month of the second year of the two-year TCC until completion of the final round of the six-month Sub-Auction for the final six months of the two-year TCC, the sum of the first year and second year amounts, which will be calculated as follows:

First Year:

the amount calculated in accordance with the appropriate Balance-of-Period Auction holding requirement formula set forth in Section 26.4.2.4.1.6 below

Second Year:

the amount calculated in accordance with the appropriate Balance-of-Period Auction holding requirement formula set forth in Section 26.4.2.4.1.6 below

(10)  upon completion of the final round of the six-month Sub-Auction for the final six months of the two-year TCC until completion of the Balance-of-Period Auction immediately preceding the final six months of the two-year TCC:

the amount calculated in accordance with the six-month TCC formula set forth in Section 26.4.2.4.1.5  below

 where:

Pijt = market clearing price of a six-month TCC in the final round of the most recently completed six-month Sub-Auction with the same POI and POW combination as the two-year TCC

(11) upon completion of the Balance-of-Period Auction for the first month of the final six months of a two-year TCC:

the amount calculated in accordance with the Balance-of-Period TCC formulas set forth in Section 26.4.2.4.1.5 below

 

26.4.2.4.1.2 One-Year TCCs:

(1) upon initial award of a one-year TCC (including a Fixed Price TCC with a one-year duration, an Incremental TCC, or a Grandfathered TCC) until completion of the final round of the current one-year Sub-Auction:

the amount calculated in accordance with the one-year TCC formula set forth in Section 26.4.2.4.1.5 below

(2) upon completion of the final round of the current one-year Sub-Auction until completion of the Balance-of-Period Auction for the first month of the one-year TCC:

the amount calculated in accordance with the one-year TCC formula set forth in Section 26.4.2.4.1.5 below

 

where:

Pijt = market clearing price of a one-year TCC in the final round of the current one-year Sub-Auction with the same POI and POW combination as the one-year TCC

(3) upon completion of the Balance-of-Period Auction for the first month of the one-year TCC (including a Fixed Price TCC with a one-year duration, an Incremental TCC, or a Grandfathered TCC) until completion of the final round of the six month Sub-Auction in the next Centralized TCC Auction:

the amount calculated in accordance with the appropriate Balance-of-Period Auction holding requirement formula set forth in Section 26.4.2.4.1.6 below

(4)  upon completion of the final round of the six-month Sub-Auction for the final six months of a one-year TCC (including a Fixed Price TCC with a one-year duration, an Incremental TCC, or a Grandfathered TCC) until completion of the Balance-of-Period Auction immediately preceding the final six months of a one-year TCC (including a Fixed Price TCC with a one-year duration, an Incremental TCC, or a Grandfathered TCC):

the amount calculated in accordance with the six-month TCC formula set forth in Section 26.4.2.4.1.5 below

 where:

Pijt = market clearing price of a six-month TCC in the final round of the most recently completed six-month Sub-Auction with the same POI and POW combination as the one-year TCC

(5) upon completion of the Balance-of-Period Auction for the first month of the final six months of a one-year TCC:

the amount calculated in accordance with the appropriate Balance-of-Period Auction holding requirement formula set forth in Section 26.4.2.4.1.6 below

26.4.2.4.1.3 Six-Month TCCs:

(1) upon initial award of a six-month TCC (including an ETCNL TCC, or a RCRR TCC) until completion of the final round of the current six-month Sub-Auction:

the amount calculated in accordance with the six-month TCC formula set forth in Section 26.4.2.4.1.5 below

(2) upon completion of the final round of the current six-month Sub-Auction until completion of the Balance-of-Period Auction for the first month of a six-month TCC:

the amount calculated in accordance with the six-month TCC formula set forth in Section 26.4.2.4.1.5 below

 where:

Pijt = market clearing price of a six-month TCC in the final round of the current six-month Sub-Auction with the same POI and POW combination as the six-month TCC

 

(3) upon completion of the Balance-of-Period Auction for the first month of a six-month TCC:

the amount calculated in accordance with the Balance-of-Period Auction formula set forth in Section 26.4.2.4.1.6.1 below             

26.4.2.4.1.4 One-Month TCCs:

upon initial award of a one-month TCC:

the amount calculated in accordance with the Balance-of-Period TCC Auction holding requirement formula set forth in Section 26.4.2.4.1.6.1 below

26.4.2.4.1.5 Centralized TCC Auction – Holding Requirement Formulas:

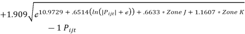
for one-year TCCs, representing a 5% probability curve:

 

 

for six-month TCCs, representing a 3% probability curve:

 

 

 

 

where:

Pijt = market clearing price of i to j TCC in round t of the auction in which the TCC was purchased (or, in the case of an ETCNL TCC or a RCRR TCC, the auction in which the six-month Sub-Auction made transmission capacity available to support the sale of TCCs for the Capability Period in which the applicable ETCNL TCC or RCRR TCC would be valid);

Zone J = 1 if TCC sources or sinks but not both in Zone J, zero otherwise;

Zone K  = 1 if TCC sources or sinks but not both in Zone K and does not source or sink in Zone J, 0 otherwise;

Summer  = 1 for six-month TCCs sold in the spring auction, 0 otherwise; and

 

 

Further, when calculating “Pijt” in Section 26.4.2.4.1, in the event there is no market clearing price for a two-year, one-year, or six-month TCC in the appropriate prior Capability Period Centralized TCC Auction with the same POI and POW combination as the awarded two-year, one-year, or six-month TCC, as appropriate, then the market clearing price shall equal a proxy price, assigned by the ISO, for a TCC with like characteristics.

Further, the NYISO may adjust any of the Zone K multipliers in Section 26.4.2.4.1 if, for TCCs of the same duration, the percentage ratio between collateral and congestion rents for Zone K TCCs deviates from the percentage ratio for Zone J TCCs by more than ten percent (10.0%).

26.4.2.4.1.6  Balance-of-Period Auction – Holding Requirement Formulas:

During the Balance-of-Period Auction: (a) a TCC awarded in the Centralized TCC Auction (or the remaining segments of a TCC awarded in a prior Centralized TCC Auction); or (b) a Fixed Price TCC, an Incremental TCC, a Grandfathered TCC, an ETCNL TCC, or a RCRR TCC, valid during the period covered by the Balance-of-Period Auction is segmented, as appropriate, into (i) a monthly segment, corresponding to the months within the current Capability Period encompassed by the remaining duration of the TCC (or, in the case of an Incremental TCC or a Grandfathered TCC, the remaining duration of the assumed duration of the TCC for purposes of this Section 26.4), (ii) a future six-month segment, corresponding to months within the next Capability Period encompassed by the remaining duration of the TCC (or, in the case of an Incremental TCC or a Grandfathered TCC, the remaining duration of the assumed duration of the TCC for purposes of this Section 26.4), and (iii) a one-year segment, corresponding to all months after the Capability Period associated with the future six-month segment encompassed by the remaining duration of the TCC (or, in the case of an Incremental TCC or a Grandfathered TCC, the remaining duration of the assumed duration of the TCC for purposes of this Section 26.4), such that the sum of segments (i), (ii), and (iii) covers the entire remaining duration of the TCC (or, in the case of an Incremental TCC or a Grandfathered TCC, the remaining duration of the assumed duration of the TCC for purposes of this Section 26.4). The credit holding requirement for the monthly segments and the future six-month segment are calculated in accordance with the formulas below.  The credit holding requirement for the one-year segment is calculated in accordance with formulas for determining the credit holding requirement for the second year of a two-year TCC as described in Section 26.4.2.4.1.1 above; provided, however, that in the case of a Historic Fixed Price TCC for which less than twelve months are assigned to the one-year segment, the applicable Sub-Auctions from which the market-clearing price (Pijt) used for the formulas described in Section 26.4.2.4.1.1 shall be the most recently completed two-year Sub-Auction prior to the effective date of that Historic Fixed Price TCC and the one-year Sub-Auction that immediately followed such two-year Sub-Auction.  The credit holding requirement calculated for each segment shall be determined based on the number of months that are assigned to each segment for the remaining duration of a given TCC.

26.4.2.4.1.6.1  Monthly Segment

Monthly Segment ($) = [(Monthly Margin ($) ×Monthly Index Ratio×Monthly Factor) −TCC Price ($)]×MWs

where:

Monthly Margin is calculated based on a methodology approved by Market Participants and posted to the ISO’s website

Monthly Index Ratio as determined from time to time by the ISO based on historical data and a methodology approved by Market Participants and posted to the ISO’s website

Monthly Factor as determined from time to time by the ISO based on historical data and a methodology approved by Market Participants and posted to the ISO’s website

TCC Price is the market clearing price for the respective Capability Period month in the most recent Balance-of-Period Auction

MWs is the number of awarded TCC MWs

26.4.2.4.1.6.2 Future Six-Month Segment

Future Six-Month Segment ($) = (Six-Month Margin ($)−TCC Price ($))×MWs

where:

Six-Month Margin is calculated based on a methodology approved by Market Participants and posted on the ISO’s website

TCC Price is the market clearing price, using the same POI/POW combination, resulting from the

(1) Market clearing price from the final round of the most recent one-year TCC Sub-Auction, less the

(2) Market clearing price from the second round of the most recent six-month TCC Sub-Auction

MWs is the number of awarded TCC MWs

26.4.2.5 WTSC Component

The WTSC Component shall be equal to the greater of either:  

  

* 50

 

- or –

* 50

 

  

26.4.2.6 Virtual Transaction Component 

The Virtual Transaction Component shall be equal to the sum of the Customer’s (i) Virtual Supply credit requirement (“VSCR”) for all outstanding Virtual Supply Bids, plus (ii) Virtual Load credit requirement (“VLCR”) for all outstanding Virtual Load Bids, plus (iii) net amount owed to the ISO for settled Virtual Transactions.

Where:

VSCR =  

VLCR =  

Where:

VSGMWh = the total quantity of MWhs of Virtual Supply that a Customer Bids for all Virtual Supply positions in the Virtual Supply group

VSGCS = the amount of credit support required in $/MWh for the Virtual Supply group

VLGMWh = the total quantity of MWhs of Virtual Load that a Customer Bids for all Virtual Load positions in the Virtual Load group

VLGCS = the amount of credit support required in $/MWh for the Virtual Load group

The ISO will categorize each Virtual Supply Bid into one of the 33 Virtual Supply groups (“VSG”) set forth in the Virtual Supply chart below, as appropriate, based upon the season, weekday/weekend, holiday, and time-of-day of the Virtual Supply Bid.  For each Load Zone, the amount of credit support required in $/MWh for a Virtual Transaction in a particular Virtual Supply group shall equal the price differential between the Energy price in the Day-Ahead Market and the Energy price in the Real-Time Market, at the 98th percentile, based upon all possible Virtual Supply positions in the Virtual Supply group in the previous one (1) year ending on the last day of the calendar month preceding the month to which the Virtual Supply Bid applies and in the previous five (5) years ending on the last day of the calendar month preceding the month to which the Virtual Supply Bid applies (“Virtual Supply Price Differential”).  The Virtual Supply Price Differential will be calculated by applying a weight of 1/3 to the previous one (1) year ending on the last day of the end of the calendar month preceding the month to which the Virtual Supply Bid applies and a weight of 2/3 to the previous five (5) years ending on the last day of the calendar month preceding the month to which the Virtual Supply Bid applies. 

 

The ISO will categorize each Virtual Load Bid into one of the 28 Virtual Load groups (“VLG”) set forth in the Virtual Load chart below, as appropriate, based upon the season,  weekday/weekend, holiday, and time-of-day of the Virtual Load Bid.  For each Load Zone, the amount of credit support required in $/MWh for a Virtual Transaction in a particular Virtual Load group shall equal the price differential between the Energy price in the Day-Ahead Market and the Energy price in the Real-Time Market, at the 97th percentile, based upon all possible Virtual Load positions in the Virtual Load group  in the previous one (1) year ending on the last day of the calendar month preceding the month to which the Virtual Load Bid applies and in the previous five (5) years ending on the last day of the calendar month preceding the month to which the Virtual Load Bid applies (“Virtual Load Price Differential”).  The Virtual Load Price Differential will be calculated by applying a weight of 1/3 to the previous one (1) year ending on the last day of the calendar month preceding the month to which the Virtual Load Bid applies and a weight of 2/3 to the previous five (5) years ending on the last day of the calendar month preceding the month to which the Virtual Load Bid applies. 

If a Customer submits Bids for both Virtual Load and Virtual Supply for the same day, hour, and Load Zone, then for those Bids, until such time as those Bids have been evaluated by SCUC, only the greater of the Customer’s (i) VLCR for the total MWhs Bid for Virtual Load, or (ii) VSCR for the total MWhs Bid for Virtual Supply will be included when calculating the Customer’s Virtual Transaction Component. After evaluation of those Bids by SCUC, then only the credit requirement for the net position of the accepted Bids (in MWhs of Virtual Load or Virtual Supply) will be included when calculating the Customer’s Virtual Transaction Component.

Virtual Supply Groups

 

 

 

 

 

 

 

 

 

 

 

 

 

 

 

 

 

 

 

 

 

 

 

 

 

 

 

 

 

 

 

 

 

 

 

 

 

 

 

 

 

 

 

 

 

 

 

 

 

 

 

 

 

 

 

 

 

 

 

 

 

 

 

 

 

 

 

 

 

 

 

 

 

 

 

 

 

 

 

 

 

 

 

 

 

 

 

 

 

 

 

 

 

 

 

 

 

 

 

 

 

 

 

 

 

 

 

 

 

 

 

 

 

 

 

 

Summer

Virtual Supply Group For Each Load Zone

HB07–09

VSG-1

HB10–12

VSG-2

HB13–17

VSG-3

HB18

VSG-4

HB19-20

VSG-5

HB21-22

VSG-6

Weekend/ Holiday (HB07–08)

VSG-7

Weekend/ Holiday (HB09–12)

VSG-8

Weekend/ Holiday (HB13–14)

VSG-9

Weekend/ Holiday (HB15–16)

VSG-10

Weekend/ Holiday (HB17–18)

VSG-11

Weekend/ Holiday (HB19–22)

VSG-12

Night (HB00,23)

VSG-13

Night (HB01-06)

VSG-14

Winter

 

HB08–09

VSG-15

HB10–12

VSG-16

HB13–15

VSG-17

HB16-17

VSG-18

HB18-20

VSG-19

HB21-22

VSG-20

Weekend/ Holiday (HB16–20)

VSG-21

Weekend/ Holiday (Other HB08-22)

VSG-22

Night (HB00,01,23)

VSG-23

Night (HB02-05)

VSG-24

Night (HB06-07)

VSG-25

Rest-of-Year

 

HB07–10

VSG-26

HB11–14

VSG-27

HB15–19

VSG-28

HB20-22

VSG-29

Weekend/ Holiday (HB17–20)

VSG-30

Weekend/ Holiday (Other HB07-22)

VSG-31

Night (HB00,06,23)

VSG-32

Night (HB01-05)

VSG-33

 

Where:

Summer   = May, June, July, and August

Winter   = December, January, and February

Rest-of-Year  = March, April, September, October, and November

Weekend  = Saturday and Sunday

Holiday   =  NERC-defined holidays

HB   = Hour Beginning x:00

 

 

Virtual Load Groups

 

Summer

Virtual Load Group For Each Load Zone

HB07–09

VLG-1

HB10–11

VLG-2

HB12-13

VLG-3

HB14-17

VLG-4

HB18-20

VLG-5

HB21-22

VLG-6

Weekend/ Holiday (HB13-19)

VLG-7

Weekend/ Holiday (Other HB07-22)

VLG-8

Night (HB00,23)

VLG-9

Night (HB01-06)

VLG-10

Winter

 

HB07–09

VLG-11

HB10–12

VLG-12

HB13–15

VLG-13

HB16-17

VLG-14

HB18-20

VLG-15

HB21-22

VLG-16

Weekend/ Holiday (HB16–20)

VLG-17

Weekend/ Holiday (Other HB07-22)

VLG-18

Night (HB02-04)

VLG-19

Night (Other HB23-06)

VLG-20

Rest-of-Year

 

HB07–10

VLG-21

HB11–14

VLG-22

HB15–19

VLG-23

HB20-22

VLG-24

Weekend/ Holiday (HB17–20)

VLG-25

Weekend/ Holiday (Other HB07-22)

VLG-26

Night (HB00,06,23)

VLG-27

Night (HB01-05)

VLG-28

 

Where:

Summer   = May, June, July, and August

Winter   = December, January, and February

Rest-of-Year  = March, April, September, October, and November

Weekend  = Saturday and Sunday

Holiday   =  NERC-defined holidays

HB   = Hour Beginning x:00

 

26.4.2.7 Reserved for Future Use

26.4.2.8 Reserved for Future Use 

 

26.4.2.9 Projected True-Up Exposure Component

The Projected True-Up Exposure Component shall apply to any Customer whose average percentage credit exposure to the NYISO is greater than ten percent of the initial invoice settlements for the four-month true-ups over the most recent period, not to exceed four months, for which the Customer has been invoiced by the NYISO.  Customers subject to the Projected True-Up Exposure Component shall be required to provide secured credit to satisfy the requirement.  The Projected True-Up Exposure Component shall be determined according to the following formula:

 

Where:

PTE  = The amount of secured credit support required for the Projected True-Up Exposure Component

N4 = Each month in the most recent four-month period with a 4 month settlement

N8 = Each month in the most recent eight-month period with a final bill close-out settlement

26.4.2.10 Former RMR Generator Component

The Former RMR Generator Component shall apply to any Customer that is the financially responsible party under the ISO Tariffs for a former RMR Generator or former Interim Service Provider that is subject to a Monthly Repayment Obligation.  The Former RMR Generator Component will apply until either (a) the Monthly Repayment Obligation associated with the former RMR Generator or former Interim Service Provider is paid in full, or (b) the former RMR Generator or former Interim Service Provider is not subject to a Monthly Repayment Obligation.  Customers subject to the Former RMR Generator Component shall be required to provide collateral to satisfy the requirement. 

The Former RMR Generator Component shall be calculated as follows:

 

S = the set of former RMR Generators and former Interim Service Providers for which Customer is the financially responsible party under the ISO Tariffs

 

G = a former RMR Generator or former Interim Service Provider in set S

MROG = the Monthly Repayment Obligation (as defined in Section 15.8.7 of Rate Schedule 8 to the Services Tariff) for Generator G

TermG = the lesser of 8 or the number of months remaining in the repayment term that the ISO determines in accordance with Rate Schedule 8 to the Services Tariff for Generator G

26.4.3 Calculation of Bidding Requirement

The Bidding Requirement shall be an amount equal to the sum of:

(i)  the amount of bidding authorization that the Customer has requested for use in or during, as appropriate, an upcoming ISO-administered TCC auction, which shall at least cover the sum of all positive bids to purchase TCCs, plus the absolute value of the sum of all negative offers to sell TCCs; provided, however, that the amount of credit required for each TCC that the Customer bids to purchase, whether positive, negative, or zero shall not be less than (a) $3,000 per MW for two-year TCCs, (b) $1,500 per MW for one-year TCCs, (c) $2,000 per MW for six-month TCCs, (d) $1,800 per MW for five-month TCCs, (e) $1,500 per MW for four-month TCCs, (f) $1,200 per MW for three-month TCCs, (g) $900 per MW for two-month TCCs, and (h) $600 per MW for one-month TCCs;

(ii)  the remaining amount that the Customer owes following an upcoming Centralized TCC Auction as a result of purchasing a Fixed Price TCC;

(iii)  the amount of bidding authorization that the Customer has requested for use in an upcoming ISO-administered ICAP auction; and

(iv)  five (5) days prior to any ICAP Spot Market Auction, the amount that the Customer may be required to pay for UCAP in the auction, calculated as follows:

 

Where:

S equals a set containing the following locations:   each Locality and Rest of State,

L  equals a location in the set S,

ICPML equals the lesser of UBRPL or LML,

UBRPL  equals the UCAP based reference point (in $/kW-Month) for location L, as determined on the ICAP Demand Curve for that location (or for NYCA, if L is Rest of State) for the applicable Obligation Procurement Period,

LML equals (1) for any Locality L that is contained within another Locality X, the greater of CPML or CPMX, or (2) for any other Locality or Rest of State, CPML, 

CPML equals for location L, (1 + MarginL )*MCPL ,

CPMX equals for location X, (1 + MarginX )*MCPX ,

MarginL equals 25% if location L is New York City and 100% if location L is G-J Locality, Long Island or Rest of State,

MCPL equals the Market-Clearing Price for location L in the most recent Monthly Auction that established such a price for the month covered by the ICAP Spot Market Auction, measured in dollars per kilowatt-month,

DeficiencyL equals the number of megawatts of Unforced Capacity that are to be procured in location L on behalf of that Customer in the ICAP Spot Market Auction in order to cover any deficiency for that Customer that exists in that location after the certification deadline for that ICAP Spot Market Auction less any deficiency calculated for that Customer for any Localities contained within location L, such value not to be less than zero,

ZDOMWL equals the number of megawatts of unsold Unforced Capacity in location L that the Customer committed as zero dollar offered megawatts for that ICAP Spot Market Auction,

ZCPL equals the percentage determined in accordance with Services Tariff Section 5.14.1.2 for the applicable ICAP Demand Curves as established at the $0.00 point for the appropriate Capability Year, and

RQTL equals (1) if L is New York City or Long Island, that Customer’s share of the Locational Minimum Unforced Capacity Requirement for location L or (2) if L is G-J Locality, that Customer’s share of the Locational Minimum Unforced Capacity Requirement for the G-J Locality that remains after reducing this amount by its share of the Locational Minimum Unforced Capacity Requirements for New York City or, (3) if L is Rest of State, that Customer’s share of the NYCA Minimum Unforced Capacity Requirement that remains after reducing this amount by (a) its share of the Locational Minimum Unforced Capacity Requirements for New York City and Long Island and (b) that Customer’s share of the Locational Minimum Unforced Capacity Requirement for the G-J Locality remaining after accounting for New York City, as calculated in (2) above; such value not to be less than zero.

Effective Date: 10/31/2025 - Docket #: ER26-1265-000 - Page 1